Пароплав пройшов відстань 16 кілометрів за течією ріки та 8 кілометрів проти течії витративши на весь шлях 2 години знайдіть власне швидкість переклала якщо швидкість течії ріки дорівнює 4 кілометри за годину
Приложения:

Ответы
Ответ дал:
0
Ответ: х=12(км/ч)-собственная скорость парохода.
(х=0 не может быть по условию задачи, так как скорость парохода не равна 0)
Объяснени
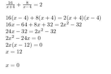
х(км/ч)- собственная скорость парохода
х+4 (км/ч)-скорость по течению
х-4 (км/ч) -скорость против течения
время движения находится по формуле:
t=s/v
t -время
S -расстояние
V -скорость
составим уравнение: (фото)
Приложения:

Вас заинтересует
1 год назад
1 год назад
1 год назад
3 года назад
3 года назад
8 лет назад