Ответы
Ответ дал:
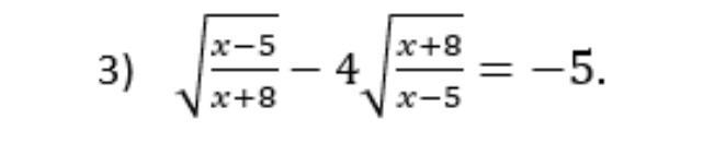
1
Відповідь: розв'язання завдання додаю
Додала ще розв'язання, якщо +4. Може в умові описка все ж таки.
Приложения:



xxlorry:
большое спасибо!
Вас заинтересует
1 год назад
1 год назад
1 год назад
3 года назад
3 года назад