• Предмет: Алгебра
  • Автор: 2008ilyazaika
  • Вопрос задан 2 года назад

ДАЮ 100 БАЛЛОВ!!!!!!
1-2Сократить дроби
3-4Выполнить сложение
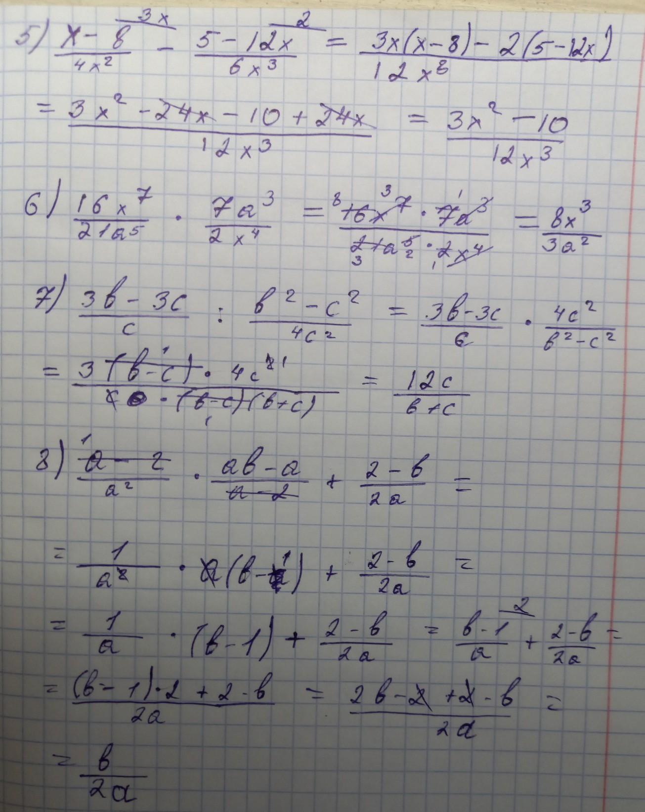
5Выполнить вычитание
6-7Выполнить действие
8Упростить выражение​

Приложения:

Ответы

Ответ дал: mashanlodamir45
3

Ответ:

удачи

Объяснение:

мнн не жалко ____________

Приложения:
Вас заинтересует