• Предмет: Алгебра
  • Автор: mynemaanna
  • Вопрос задан 2 года назад

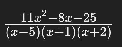
Помоги решить задание

Приложения:

Ответы

Ответ дал: kosenkoilona73
0

Ответ:

вот, надеюсь помогла))).

Приложения:
Вас заинтересует