• Предмет: Физика
  • Автор: Alexandra317
  • Вопрос задан 11 лет назад

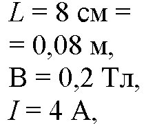
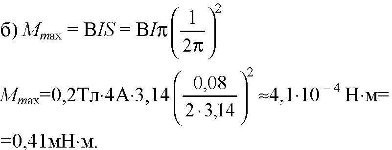
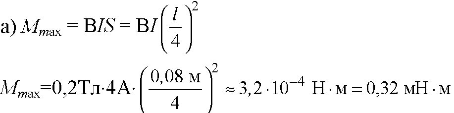
Из проволоки длиной 8см сделаны контуры: круговой и квадратный. Индукция равна 0,2Тл сила тока в контуре 4А. Найти максимальный вращающий момент, действующий на каждый контур.

Ответы

Ответ дал: Рензи
0

решение на листочке

кликниш 

Приложения:
Вас заинтересует