• Предмет: Математика
  • Автор: shevchenkoyarik2004
  • Вопрос задан 2 года назад

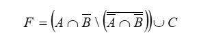
Для формули F (А, В, С - деякі множини ) 1) відобразити відношення між множинами за допомогою діаграм Ейлера-В’єна; 2) спростити функцію F.

Приложения:

Ответы

Ответ дал: denharchuk7
0

Ответ:

Пошаговое объяснение:

.

Вас заинтересует