Ответы
Ответ дал:
0
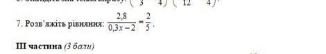
ответ на фото)
Хорошего вечера !)
Приложения:

Вас заинтересует
1 год назад
1 год назад
1 год назад
1 год назад
3 года назад
3 года назад
8 лет назад