ДАЮ 80 БАЛІВ, ДОПОМОЖІТЬ, БУДЬ ЛАСКА!!!
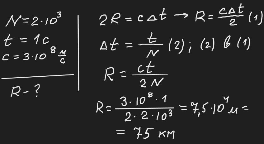
Радіолокатор видає 2000 імпульсів за 1 с. Визначте гранично можливу дальність дії радіолокатора.
З ДАНО ТА РОЗВ'ЯЗАННЯМ!
Ответы
Ответ дал:
1
Відповідь: 75 км
Пояснення:
Приложения:

Вас заинтересует
1 год назад
1 год назад
3 года назад