• Предмет: Математика
  • Автор: elenapolanskaa37334
  • Вопрос задан 2 года назад

Поможіть решити срочно!

Приложения:

Ответы

Ответ дал: lizziss
1

Ответ:

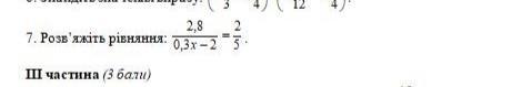
  \frac{2.8}{0.3x - 2}  =  \frac{2}{5}

2(0.3x - 2) = 2.8 \times 5

0.6x - 4 = 14

0.6x = 18

x = 30

ОДЗ:

0,3x - 2 ≠ 0

0,3x ≠ 2

x ≠ 6,(6)

Ответ дал: almamedovali37917
0

Пошаговое объяснение:

Лучше скачай fotomuch хорошо?

Приложения:
Вас заинтересует