Ответы
Ответ дал:
1
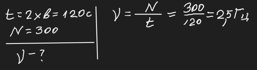
Відповідь: 2,5 Гц
Пояснення:
Приложения:

Вас заинтересует
1 год назад
1 год назад
3 года назад
3 года назад
8 лет назад