• Предмет: Алгебра
  • Автор: viki1220
  • Вопрос задан 2 года назад

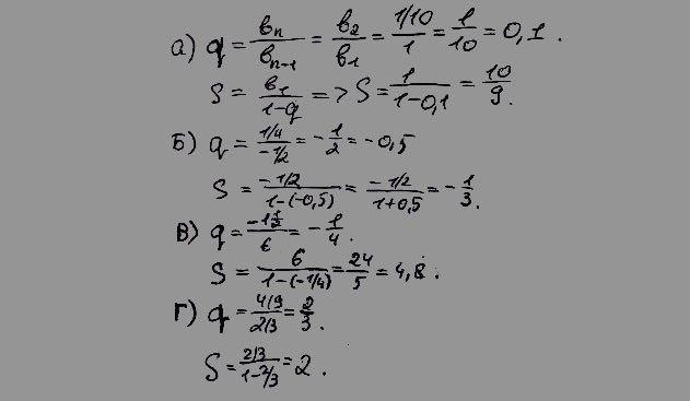
найдите сумму бесконечной геометрической прогрессии ​

Приложения:

Ответы

Ответ дал: yevheniiavz
1

....................................

Приложения:
Вас заинтересует