• Предмет: Алгебра
  • Автор: asiasania790
  • Вопрос задан 2 года назад

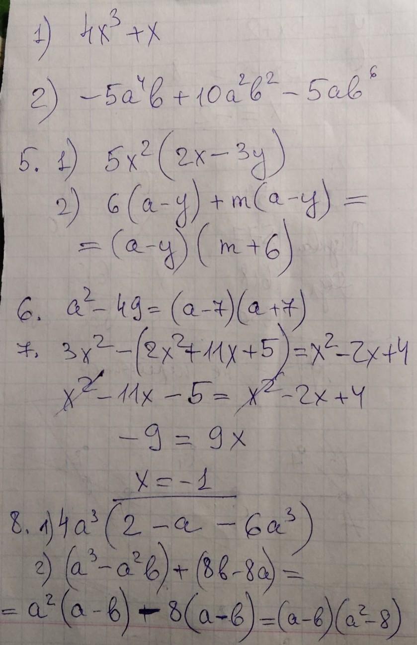
Перетворіть у многочлен стандартного вигляду:

1) (5x³–2x) + (3x – 4) – (x³– 4) ;

2) –5ab(a³ – 2ab + b⁵).
5°. Розкладіть на множники:

1) 10x³ – 15x²y; 2)6a – 6y + ma – my.

6. Розкладіть на множники: а² – 49

7. Розв’яжіть рівняння: 3x² – (2x+1)(x+5) = (x+2)(x – 4) + 12.

8. Подайте у вигляді добутку:

1) 8a³ – 4a⁴ – 24a⁷

2) a³ + 8b – 8a – a²b.

Ответы

Ответ дал: Platon0372
1

Ответ:

Відповідь на фото

Объяснение:

Прошу відмітити як найкращу відповідь Корона

Приложения:
Вас заинтересует