Ответы
                                            Ответ дал: 
                                                                                    
                                        
                                            
                                                
                                                
                                                
                                                    1
                                                
                                            
                                        
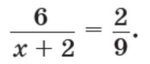
                                    Ответ:
25
Пошаговое объяснение:
6/25 + 2 = 6/27 = 2/9 ( дробь сократили на 3)
                                            Ответ дал: 
                                                                                    
                                        
                                            
                                                
                                                
                                                
                                                    0
                                                
                                            
                                        
                                    Ответ:
x -- 25
Об. :
9*6=54
x+2 * 2=54
X+2=54:2
X+2=27
X= 27-22
X=25
Вас заинтересует
                
                        1 год назад
                    
                
                        1 год назад
                    
                
                        1 год назад
                    
                
                        3 года назад
                    
                
                        8 лет назад