• Предмет: Математика
  • Автор: valeria040311
  • Вопрос задан 2 года назад

Срочно нужно даю 20 балів
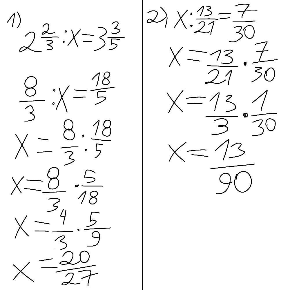
2цілі2/3÷х=3цілі3/5
Х ÷ 13/21=7/30

Ответы

Ответ дал: jekadva
1

Ответ:

Пошаговое объяснение:

2цілі2/3÷х=3цілі3/5

x = 2цілі2/3 : 3цілі3/5

x = 8/3 : 18/5

x = 8/3 * 5/18

x = 20/27

=============

Х ÷ 13/21=7/30

x = 7/30 * 13/21

x = 13/90

Ответ дал: feelsofree
1

Ответ:

1) х=20/27 2) х=13/90

Пошаговое объяснение:

фото!

Приложения:
Вас заинтересует