Ответы
Ответ дал:
0
""""""""""""""""""""""""""""""""""""""""""
Приложения:

Ответ дал:
0
x1=8; x2=4; x1+x2=-12; x1*x2=32; Теорема Виета.
Ответ дал:
0
Так легче
Ответ дал:
0
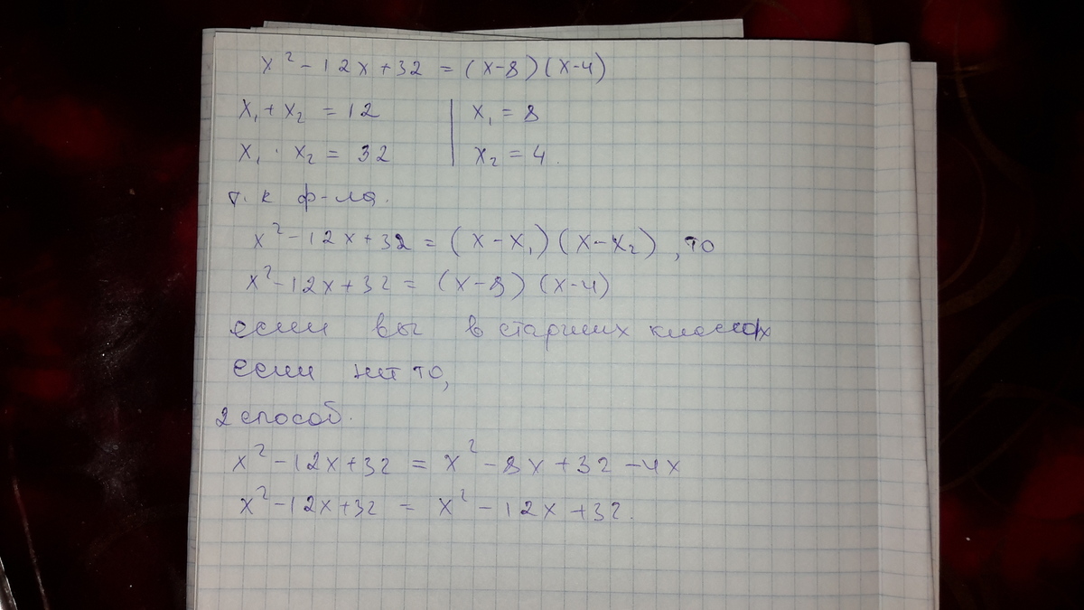
я не знаю как у вас доказывают, но моно просто открыть скобки во второй части уравнения и вот что выйдет:
x^2 - 12x + 32 = (x - 8)(x - 4)
x^2 - 12x + 32 = x^2 - 8x - 4x + 32
x^2 - 12x + 32 = x^2 - 12x + 32
x^2 - 12x + 32 = (x - 8)(x - 4)
x^2 - 12x + 32 = x^2 - 8x - 4x + 32
x^2 - 12x + 32 = x^2 - 12x + 32
Приложения:

Ответ дал:
0
Я этот способ тоже показала
Вас заинтересует
2 года назад
2 года назад
8 лет назад
8 лет назад
10 лет назад
10 лет назад
10 лет назад
10 лет назад