• Предмет: Математика
  • Автор: sergiysmus
  • Вопрос задан 2 года назад

Срочно даю много баллов с решением.

Приложения:

Ответы

Ответ дал: uliabato
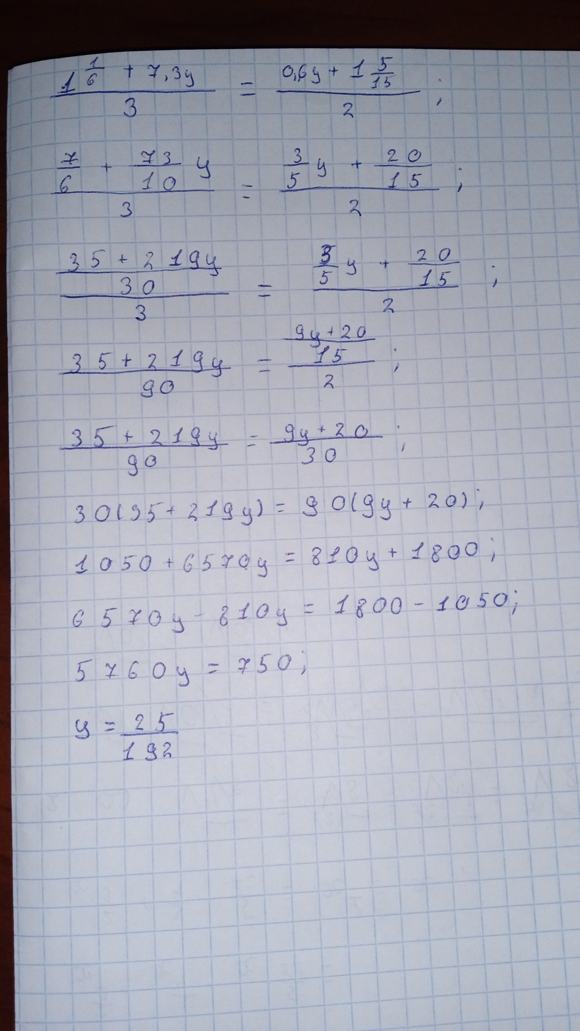
1

Відповідь:



Покрокове пояснення:

Приложения:

sergiysmus: спс
Ответ дал: 2shark2
1

Ответ:

y = \frac{25}{192}

Пошаговое объяснение:

Сначала избавимся от дробей. Для этого умножим обе части уравнения на 6 (чтобы в первой части сократилась 3, во второй 2. В числителе первой останется 2, в числителе второй 3)
\frac{(1\frac{1}{6} + 7,3y)*6}{3} = \frac{(0,6y + 1\frac{5}{15}) * 6}{2}
И еще дроби заранее в неправильные переведу, чтоб потом удобнее было умножать
(\frac{7}{6} + 7,3y)*2 = (0,6y + \frac{20}{15})*3
Раскрываем скобки (сразу умножу)
\frac{14}{6} + 14,6y = 1,8y + \frac{60}{15}
Переносим всё с y в правую сторону от знака равно, остальное в левую. Когда переносим, меняем знаки на противоположные (то есть было 1,8у, перенесли, стало -1,8у)
14,6y - 1,8y = \frac{60}{15} - \frac{14}{6}
Просто решаем. Дроби сокращаем
12,8y = \frac{4}{1} - \frac{7}{3}
Дроби приводим к общему знаменателю (3)
12,8y = \frac{12 - 7}{3}
Вычисляем 12 - 7 и оставляем в левой части уравнения просто у
y = \frac{5}{3} : 12,8
Представляем 12,8 в виде дроби 128/10, помним, что чтобы поделить на дробь, нужно перевернуть ее
y = \frac{5}{3} * \frac{10}{128}
Можно сократить только 10/128 до 5/64, а дальше просто умножаем
y = \frac{5 * 5}{3 * 64}
y = \frac{25}{192} ≈ 0,13


sergiysmus: спс
2shark2: :)
Вас заинтересует