• Предмет: Алгебра
  • Автор: choenwho
  • Вопрос задан 2 года назад

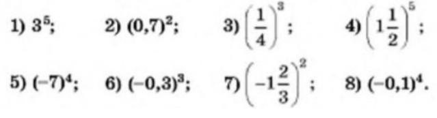
Виконайте піднесення до степеня: ​

Приложения:

Ответы

Ответ дал: taadegtareva635
0

Не могу прикрепить фото , напишите пожалуйста в тг (@visxxed_sx)

Вас заинтересует