• Предмет: Алгебра
  • Автор: PaintNavernoe
  • Вопрос задан 2 года назад

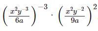
Спростити вираз:
- - - - -

Приложения:

Ответы

Ответ дал: tetamotatetyamotya
1

Ответ:вот

Объяснение:

Приложения:
Вас заинтересует