• Предмет: Алгебра
  • Автор: marmazovpavel
  • Вопрос задан 2 года назад

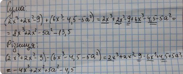
2. Знайдіть суму і різницю многочленів:

(7x³+3x²-2x-9) та (9x⁴ - 4x³- x²+5 +5x)

3. Спростіть і підрахуйте значення виразу:

2a (3ab-1)-b(6a²+5a)+a(a²-b+3)=

Якщо а = 2; b =-1,7

4. Розв'яжіть рівняння:

a) (7x-2)(6-5x)+35x²=4x+6

x+4/2 – x-9/7 =4


Даю 50 балов ​

Ответы

Ответ дал: sevcenkomira59
0

Ответ:

извени знаю только ответ на первый вопрос

Приложения:
Вас заинтересует