• Предмет: Алгебра
  • Автор: az4512611
  • Вопрос задан 2 года назад

Помогите пожалуйста ​

Приложения:

Аноним: 7@649472

Ответы

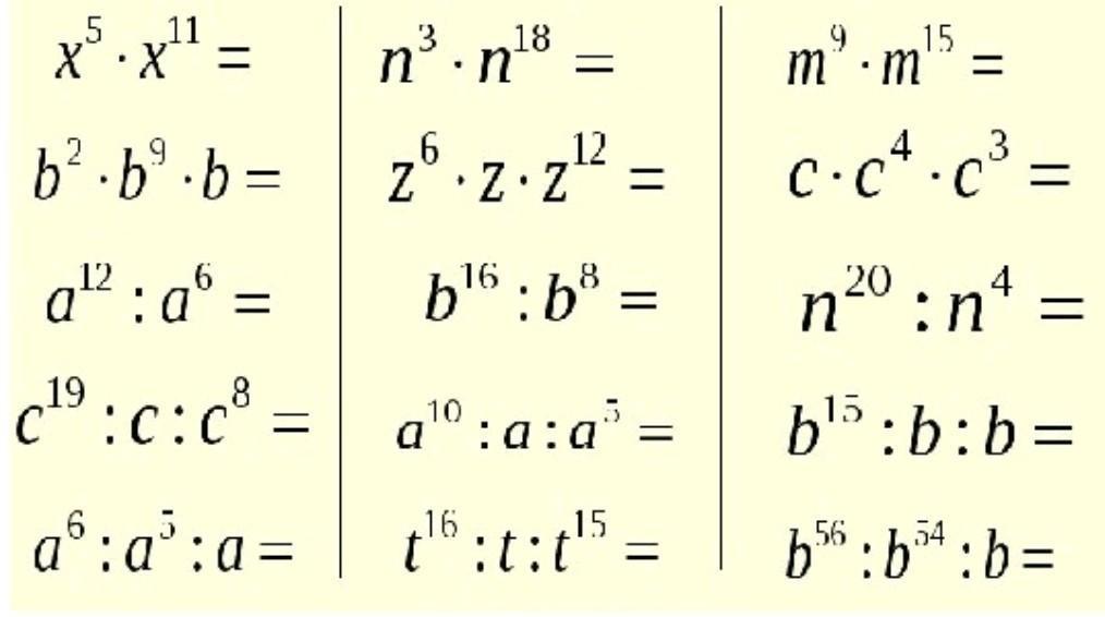
Ответ дал: slayzzz
0

Ответ:

x16

b13

a6

c10

a

n21

z19

b24

a4

t

m24

c8

n16

b13

b

Вас заинтересует