• Предмет: Физика
  • Автор: 0970907190od
  • Вопрос задан 2 года назад

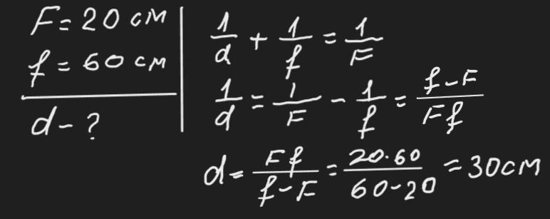
1.Збиральна тонка лінза з фокусною відстанню 20 см утворює зображення предмета, розміщеного нею на головній оптичній осі, на відстані 60 см. Визначте відстань, на якій розміщено предмет перед лінзою.
2Визначте, яке збільшення дає ця лінза, якщо її оптична сила 2 дптр.​

Ответы

Ответ дал: Anonim228222
0

Ответ:

Это ответ на первый вопрос

Объяснение:

Приложения:
Вас заинтересует