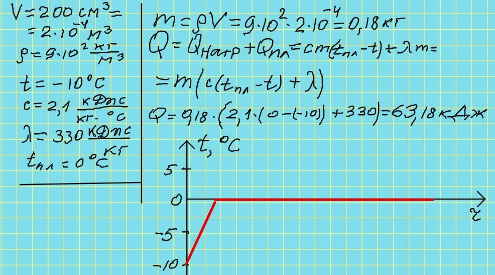
Яка кількість теплоти витрачається на плавлення 200 см³ льоду, узятого за температури -10°C? Зобразити процеси на графіку залежності температури від часу. (Питома теплота плавлення льоду 330 кДж/кг, питома теплоємність 2100 Дж/(кг°С), густина 900 кг/м³.)
Ответы
Ответ дал:
1
Відповідь: 63,18 кДж
Пояснення:
Приложения:

trast1:
помоги пожалуйста с физикой умоляю пжпжпж у меня 2 задачки выставлены не отвеченые 8 клас
Вас заинтересует
1 год назад
1 год назад
1 год назад
3 года назад
3 года назад