• Предмет: Математика
  • Автор: Аноним
  • Вопрос задан 2 года назад

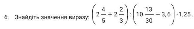
допоможіть будь ласка ​

Приложения:

Ответы

Ответ дал: krivkinatanya
1

Ответ:смотри фото

Пошаговое объяснение:

Приложения:
Вас заинтересует