• Предмет: Физика
  • Автор: mmkl
  • Вопрос задан 10 лет назад

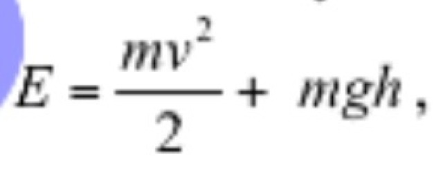
Как выразить h? Через какую формулу?:)

Приложения:

Ответы

Ответ дал: MashaPutnaj
0
m*g*h= Е -  m*V^2/2
h = E/m*g  - V^2/2*g
Вас заинтересует