• Предмет: Алгебра
  • Автор: inkyminkyuwu
  • Вопрос задан 2 года назад

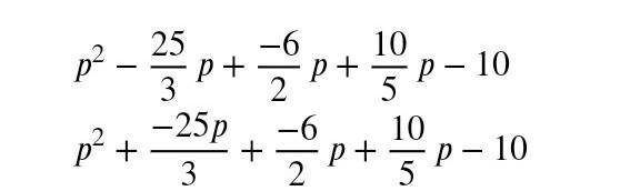
p² - 25 / 3p - 6 ÷ 2p + 10/ 5p - 10 =

Ответы

Ответ дал: sevcenkomira59
1

Ответ:

скинула два фота

Объяснение:

думаю понятно))

Приложения:
Вас заинтересует