Допоможіть будь ласка, дуже терміново)
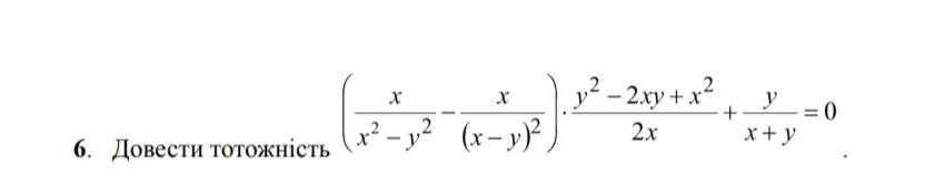
6. Довести тотожність
(x/(x ^ 2 - y ^ 2) - x/((x - y) ^ 2)) . y^ 2 -2xy+x^ 2 2x + y x+y =0
Приложения:

Ответы
Ответ дал:
2
Ответ:
Дан на фотографии 123456
Приложения:

Вас заинтересует
1 год назад
1 год назад
3 года назад
8 лет назад
8 лет назад