• Предмет: Математика
  • Автор: bahytadanil
  • Вопрос задан 2 года назад

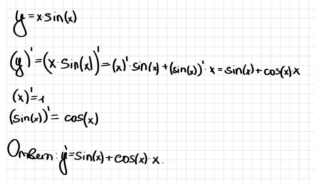
Знайти похідну y=x * sin x

Ответы

Ответ дал: Lizzie2018
2

Ответ и решение на картинке.

Приложения:
Вас заинтересует