• Предмет: Алгебра
  • Автор: secretik31
  • Вопрос задан 2 года назад

найдите производную функции f(x)=1/4 x^4+x​

Ответы

Ответ дал: Alnadya
1

Решение.

Производная степенной функции равна   \bf(x^{n})'=n\cdot x^{n-1}   .

 \bf f(x)=\dfrac{1}{4}\, x^4+x\\\\f'(x)=\dfrac{1}{4}\cdot 4x^3+1=x^3+1

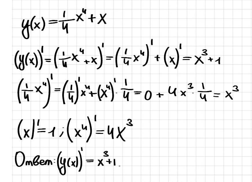
Ответ дал: Lizzie2018
1

Ответ и решение на картинке.

Приложения:
Вас заинтересует