• Предмет: Алгебра
  • Автор: YmniyDinosaur
  • Вопрос задан 2 года назад

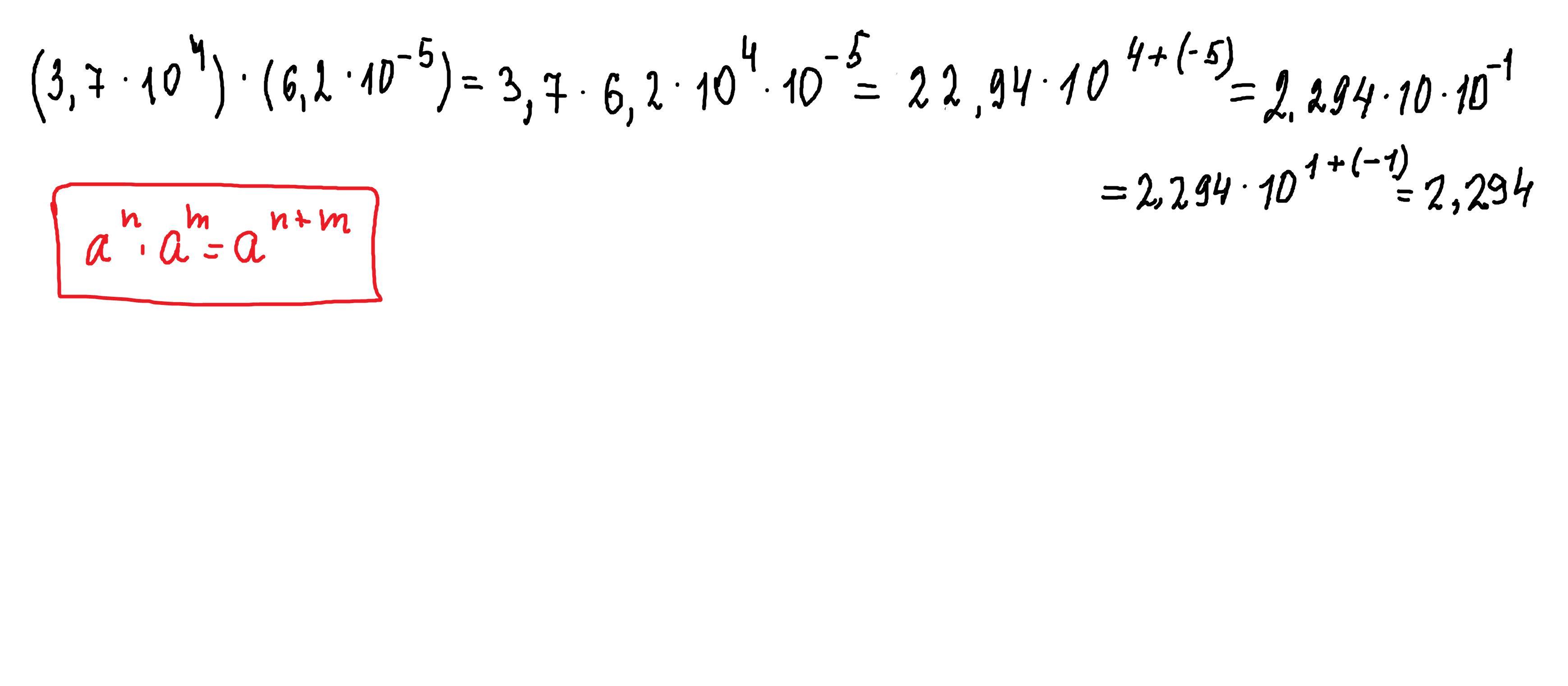
виконайте дії та запишіть відповідь в стандартному вигляді (3,7×10⁴)×(6,2×10-⁵) допоможіть будь ласка, мені вже скоро здавати я віддам всі бали що в мене є тільки допоможіть ​

Ответы

Ответ дал: parus77
2

Ответ:

2,294

Объяснение:

решение внизу

Приложения:

YmniyDinosaur: дякую велике
YmniyDinosaur: Якщо вам не важко , ви б могли відповісти на ще одне питання, бо в мене контрольна і скоро треба здати якщо знаєте відповідь то напишіть будь ласка, мені потрібна відповідь на питання де я написала "Прошу допоможіть спростити вираз" там прикріплене фото
Вас заинтересует