• Предмет: Математика
  • Автор: buryanmarina
  • Вопрос задан 2 года назад

Пожалуйста помогите решить

Приложения:

Ответы

Ответ дал: Diana666St
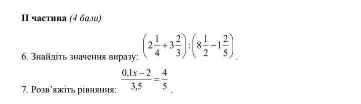
1
6.5/6
7.х=48
Нужен более подробный ответ?
Ответ дал: Hallohappyman
1

Ответ:

Пошаговое объяснение:

6. Сначала решаем в скобках, (5 + 11/12):71/10

переворачиваем 71/10.

(5+11/12)•10/71.

Теперь расписываем первое

71/12•10/71=5/6

7. Ставим 0.1х+2/3.5 как х-2/35.

Умножаем теперь перекрестно.

5(х+20)= 35•4

5(х+20)=140. Делим всё выражение на 5.

х-20=28

х= 20+28

х=48

Вас заинтересует