• Предмет: Математика
  • Автор: meyramsaida
  • Вопрос задан 2 года назад

пожалуйста помогите даю 20 баллов​

Приложения:

Ответы

Ответ дал: nurkyztolonova9
0

Ответ:

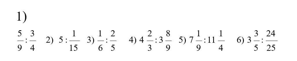
2)5:1/15=5*15/1=1*3/1=3

Ответ дал: rinsllw20
0

Пошаговое объяснение:

1) 5/9 : 3/4 = 5/9 : 4/3 = 5×4/9×3 = 20/27;

2) 5 : 1/15 = 5 × 15 = 75;

3) 1/6 : 2/5 = 1/6 : 5/2 = 1×5/6×2 = 5/12;

4) 4 2/3 : 3 8/9 = 14/3 : 35/9 = 14/3 : 9/35 = 14×9/3×35 = 6/5 = 1 1/5;

6) 3 3/5 : 24/25 = 18/5 : 25/24 = 18×25/5×24 = 3×5/4 = 15/4 = 3 3/4.

Вас заинтересует