Ответы
Ответ дал:
0
Объяснение:
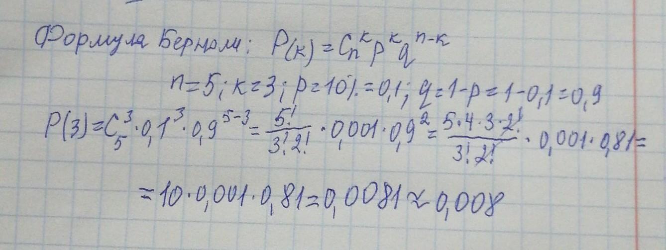
решение на фото аааааааааа
Приложения:

Вас заинтересует
1 год назад
1 год назад
1 год назад
3 года назад
3 года назад
8 лет назад
8 лет назад
https://znanija.com/task/51275415?utm_source=android&utm_medium=share&utm_campaign=question