Ответы
Ответ дал:
1
Ответ:
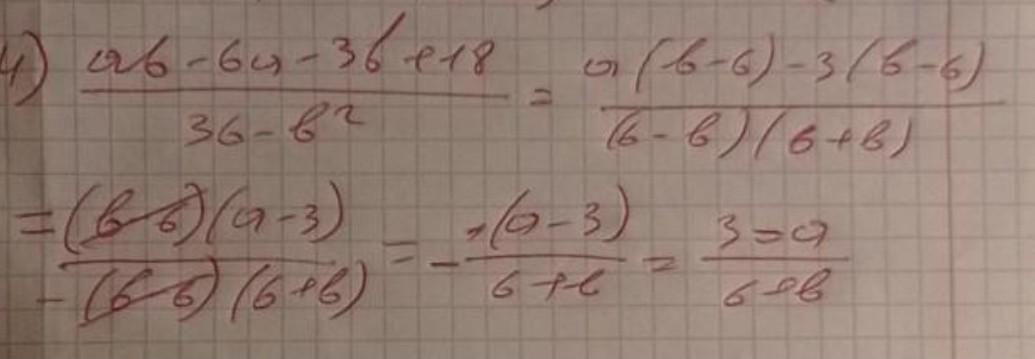
все указано на фотке надеюсб помогла
Приложения:

Ответ дал:
0
Поставь лучший ответ пж
Приложения:

Вас заинтересует
1 год назад
1 год назад
1 год назад
3 года назад
8 лет назад
8 лет назад