• Предмет: Алгебра
  • Автор: Креветка7
  • Вопрос задан 10 лет назад

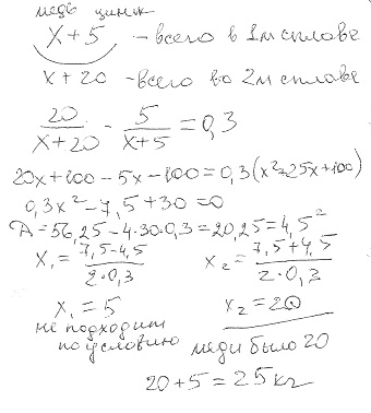
В сплав меди и цинка, содержащий 5 кг цинка, добавили 15 кг цинка, после чего содержание цинка в сплаве повысилось на 30%. Какова первоначальная масса сплава, если известно, что в нем меди было больше, чем цинка?

Ответы

Ответ дал: Ellenochka
0
по моим расчетам, первоначальная масса сплава 25 кг
Приложения:
Ответ дал: Креветка7
0
а что за программа на которой ты пишешь:?
Ответ дал: Ellenochka
0
это не программа, а отсканированый листик бумаги, написанный от руки
Вас заинтересует