• Предмет: Алгебра
  • Автор: amageddongirl
  • Вопрос задан 2 года назад

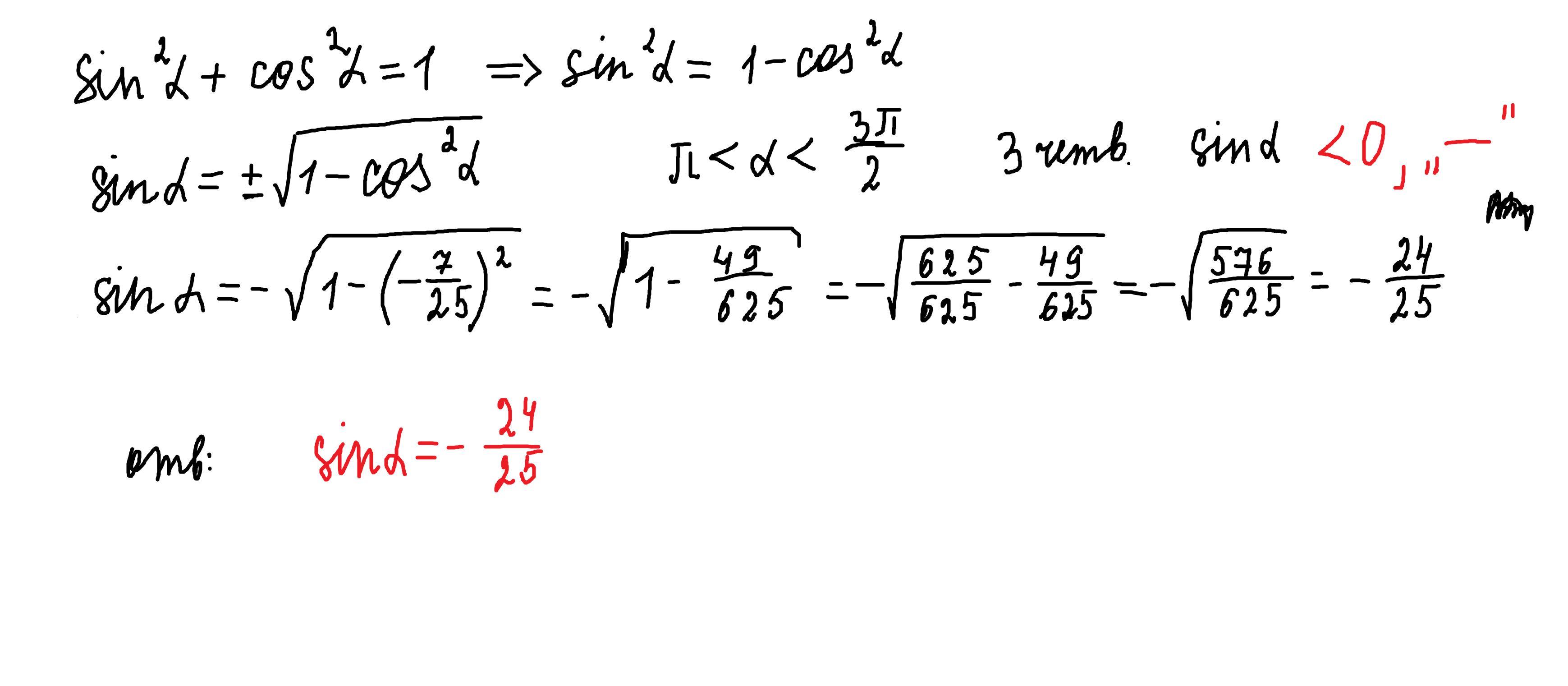
Відомо, що cosa=-7/25. π < a < 3π/2
Знайдіть sina.

Ответы

Ответ дал: rukurkurl1k
0

ответ:
-24/25
Объяснение: sin²a+cos²a=1
cos²a=(-7/25)²=(49/625)
sin²a=625/625-49/625=576/625
sina=±24/25
в третьей четверти синус отрицательный, значит ответ с минусом


rukurkurl1k: дико лагает поле, простите за такой странный ответ(
parus77: исправьте.под ответом нарисована ручка,нажми на нее и редактируй ответ,иначе отмечу нарушение.
Ответ дал: parus77
1

Ответ:

sina = -24/25

Объяснение:

т.к  π < a < 3π/2  в 3 четверти,то синус имеет знак минус,поэтому перед кв.корнем пишем минус

Приложения:
Вас заинтересует