• Предмет: Алгебра
  • Автор: natashapotomaha
  • Вопрос задан 2 года назад

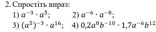
Пожалуйста помогите срочно я знаю тут есть очень умные люди помогите плиз очень надо поставлю большую оценку если будет розписано на листочке​

Приложения:

Ответы

Ответ дал: nurilamanasbai
1
1)a(2) 2)a(-14) 3)a 4) 0,34a(2)b(2)

natashapotomaha: а можешь розписать пожалуйста
natashapotomaha: спасибо большое
Вас заинтересует