• Предмет: Алгебра
  • Автор: Typoi918
  • Вопрос задан 2 года назад

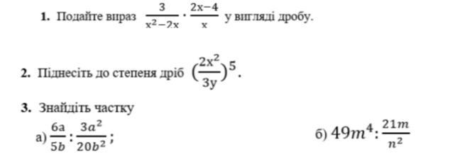
Дам 40 балів за вірну відповідь на фото, 3 питання.

Приложения:

Ответы

Ответ дал: chelovek37825
1
1)6/х^2
2)32х^10/243у^5
3) a)8b/a
б)7m^3n^2/3
Ответ дал: a70795004
1

Ответ:

ответ на фото.

Объяснение:

на фото .... ......

Приложения:
Вас заинтересует