• Предмет: Алгебра
  • Автор: surpica22
  • Вопрос задан 2 года назад

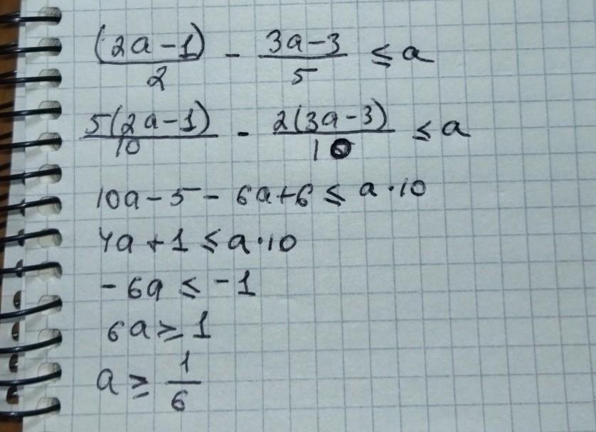
Розв'яжіть нерівність (2a-1)/2-(3a-3)/5<=a

Ответы

Ответ дал: kostirkonatasha
2

Ответ:

-------------------------

Приложения:
Вас заинтересует