• Предмет: Математика
  • Автор: andrewdpura
  • Вопрос задан 2 года назад

ДАЮ 50 БАЛЛОВ
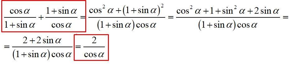
Спростити вираз:
l - це альфа.
\frac{cosl}{1+sinl}+\frac{1+sinl}{cosl}

Ответы

Ответ дал: IUV
1

Відповідь:

у вкладенні

Покрокове пояснення:

Приложения:

andrewdpura: Дякую.
IUV: на здоров'я
Вас заинтересует