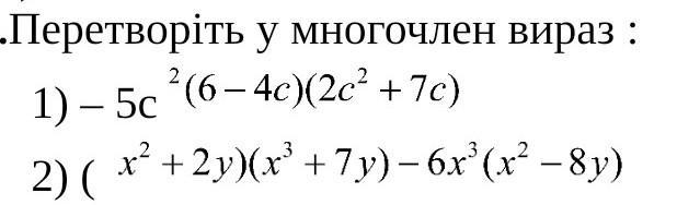
Перетворіть у многочлен вираз : ( x²+2y)(x³ +7y) - 6x³(x2 - 8y)
тільки 2 і якщо не важко можете написати на папірі будь ласка
Приложения:
Ответы
Ответ дал:
0
Ответ:
Відповідь на фото
Объяснение:
.,.,.,.,..,.,.,
Приложения:
Вас заинтересует
1 год назад
1 год назад
2 года назад
2 года назад
3 года назад
3 года назад
9 лет назад