• Предмет: Алгебра
  • Автор: footballtimipr
  • Вопрос задан 2 года назад

алгебра срочно 32 балла​

Приложения:

Ответы

Ответ дал: shorom
2

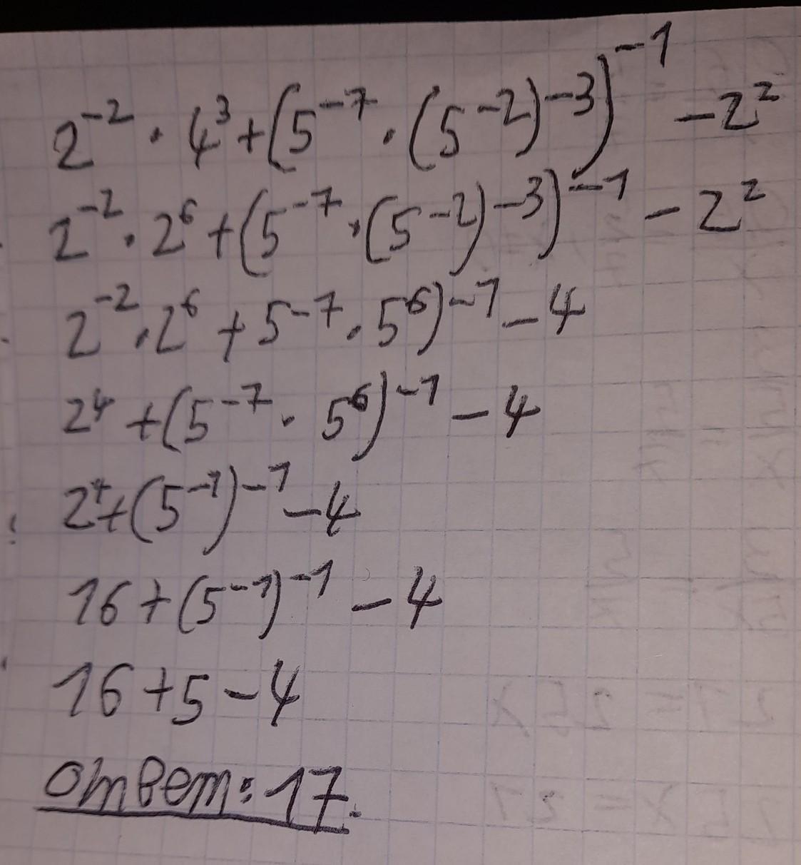
Ответ:

смотри на фото

Объяснение:

подпишись пж

Приложения:
Вас заинтересует