• Предмет: Алгебра
  • Автор: secretik31
  • Вопрос задан 2 года назад

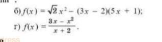
найдите производную функции
пример б​

Приложения:

Ответы

Ответ дал: FromTaker
1

Ответ:

Можешь вопросы в фото формате отпиавлять? Немножко не понятно

Приложения:

secretik31: хорошо
Вас заинтересует