• Предмет: Физика
  • Автор: zwihhij
  • Вопрос задан 2 года назад

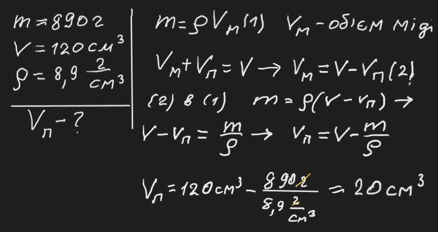
Маса полого (з порожнечею) мідної кулі 890 г, а об"єм 120 см³ Який об"єм порожнини усередині кулі?

Ответы

Ответ дал: zybkov1950
3

Відповідь: 20 см³

Пояснення:

Приложения:

zwihhij: спасибо вам большое
Вас заинтересует