• Предмет: Химия
  • Автор: skickokristina3
  • Вопрос задан 2 года назад

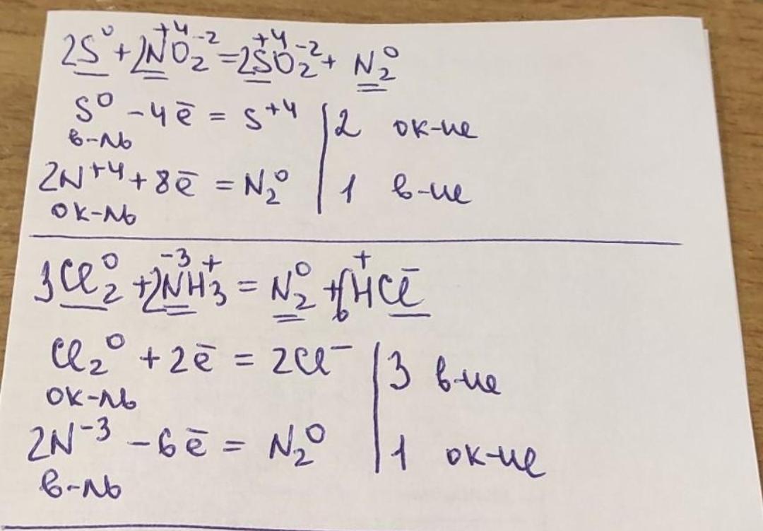
Напишіть рівняння окисно-відновних реакцій за навединими схемами , використовуючи метод електричного балансу, вкажіть речовину-окисник , речовину-відновник.
ПОМОГИТЕЕЕЕ ДАЮ 100 БАЛОВ
ПОЖАЛУСТААААААААААААА
ОЧЕНЬ НАДО

Ответы

Ответ дал: lurlandau
0

Відповідь:

Пояснення:

Приложения:
Ответ дал: Dpfidjndkdh
0

Ответ:незнаю

Объяснение:...............

Вас заинтересует