• Предмет: Физика
  • Автор: makevseev7gmailcom
  • Вопрос задан 2 года назад

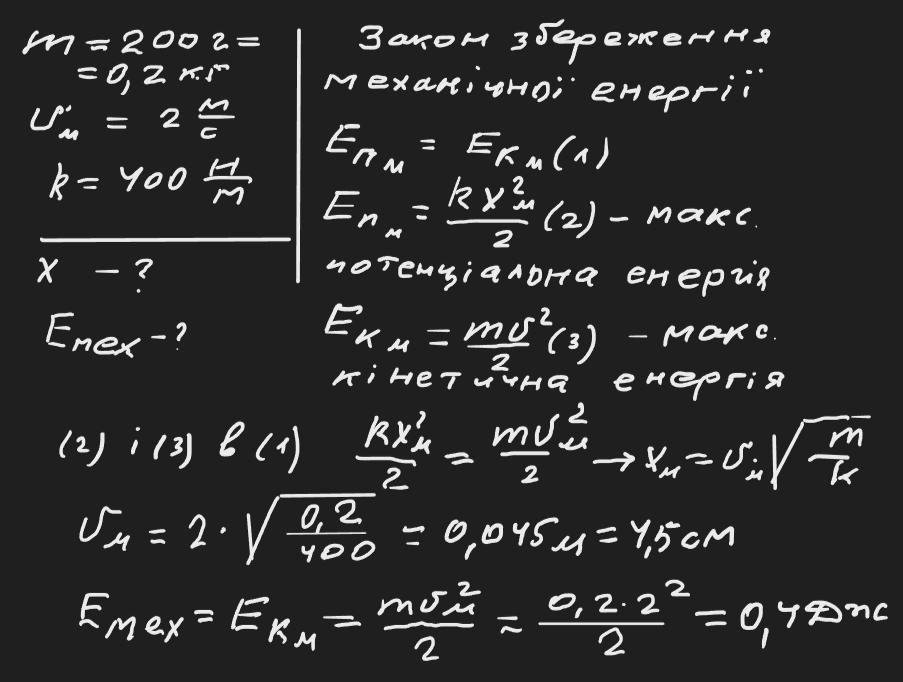
СРОЧНО!! важок масою 200 г здійснює коливання на пружині з жорсткістю 400 Нм. Максимальна швидкість важка становить 2 м/с. Знайти амплітуду коливань важка і його повну механічну енергію​

Ответы

Ответ дал: zybkov1950
1

Відповідь: ≈ 4,5 см;     0,4 Дж

Пояснення:

Приложения:

skorohodsofia9: можно задам задачу, поможешь?!
Вас заинтересует