Ответы
Ответ дал:
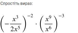
1
Ответ:
Можно лучший ответ
Объяснение:
♡♡♡♡♡♡♡♡
Приложения:

sokolovb:
спс
Вас заинтересует
1 год назад
1 год назад
1 год назад
3 года назад
3 года назад
8 лет назад