Ответы
Ответ дал:
1
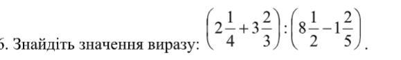
Ответ п’ять шостих дроблю
Приложения:

salovilomaria132:
можешь еще раз
Вас заинтересует
1 год назад
1 год назад
1 год назад
1 год назад
3 года назад
3 года назад
8 лет назад