• Предмет: Математика
  • Автор: stasmonko6
  • Вопрос задан 2 года назад

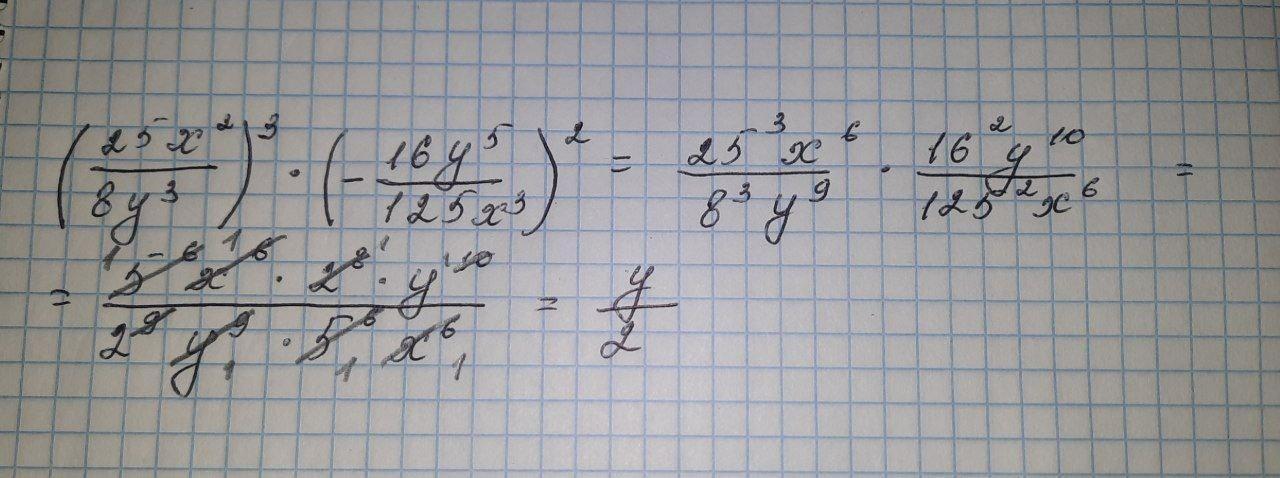
Даю 60 балов , нада точный ответ !!!​

Приложения:

Ответы

Ответ дал: igorkolesnik726
0

Ответ:

Г)

Пошаговое объяснение:

вот так надеюсь помог


stasmonko6: напиши обьяснения решения
Ответ дал: AssessDenied
0

Відповідь:Г

Покрокове пояснення:

На фото

Приложения:
Вас заинтересует