• Предмет: Математика
  • Автор: artema63
  • Вопрос задан 2 года назад

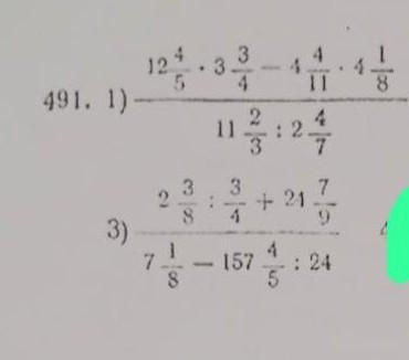
ПомогитеПомогите решить ​

Приложения:

Ответы

Ответ дал: muslimgusejnov29
0

Ответ:

64умнож на 3, 15 умной на 4,4умнож на 11, будед 1/8 35/3 18/7


muslimgusejnov29: спасибо за балы
Вас заинтересует