• Предмет: Физика
  • Автор: UseDark
  • Вопрос задан 2 года назад

Физика задачи
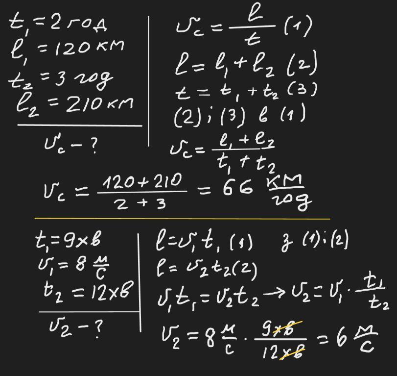
6. (2 бали) Потяг за 2 години проїхав 120 км. Потім він їхав ще 3 години і здолав шлях в 210 км. Визначте середню швидкість руху потягу.


7. (3 бали) Перший велосипедист рухався 9 хвилин зі швидкістю 8 м/с, другий проїхав цю ділянку шляху за 12 хвилин. З якою швидкістю він їхав?

Задачі №6, №7 – надати короткий запис(дано, розв’язок і відповідь)

Ответы

Ответ дал: Tishqa
1

Объяснение:

1 задача:

Середня швидкість руху - це відношення пройденого шляху до часу руху. За 2 години потяг проїхав 120 км, а за 3 години - 210 км, тому за 5 годин руху він проїхав 330 км.

Середня швидкість руху потягу = 330 км / 5 годин = 66 км/год.

2 задача:
Перший велосипедист проїхав 9 хвилин * 60 секунд/хвилин = 540 секунд. Пройдений шлях першим велосипедистом = 8 м/с * 540 секунд = 4320 м. Другий велосипедист проїхав цю ділянку шляху за 12 хвилин * 60 секунд/хвилин = 720 секунд.

Швидкість другого велосипедиста = пройдений шлях / час руху = 4320 м / 720 секунд = 6 м/с.

Ответ дал: zybkov1950
1

Відповідь: 6.  66  км/год       7. 6 хв

Пояснення:

Приложения:
Вас заинтересует